DENDRIMERES
Plan de l’étude
1) Définition
5) Dendrimères
les plus utilisés
Annexe
1 : Addition (ou réaction)
de Michael
1) Définition
Les dendrimères sont
des macromolécules synthétiques
tridimensionnelles hautement ramifiées et symétriques. Leur
nom vient du grec ancien (dendron)"dendron" (arbre),
en référence à leur structure arborescente.
On distingue trois
parties dans la structure d’un dendrimère :
·
Noyau central (core) :
un atome ou une molécule qui sert de point de départ à la croissance.
·
Branches (dendrons) : unités répétitives
ramifiées qui croissent en couches.
·
Groupes terminaux : extrémités des
branches, modifiables selon les besoins.
Chaque "couche"
autour du noyau est appelée une génération (G0, G1, G2...).

Deux méthodes principales :
a) Méthode divergente :
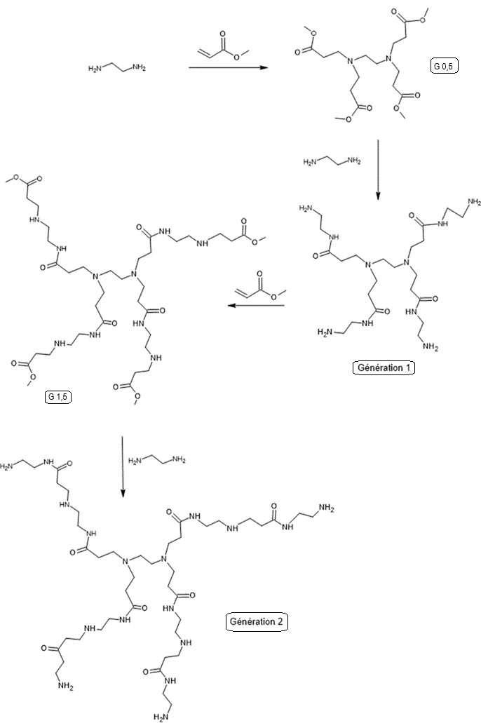
On peut prendre comme exemple le dendrimère PAMAM.
|
|
PAMAM (PolyAMidoAMine) Un dendrimère obtenu à partir d’éthylènediamine
(NH₂–CH₂–CH₂–NH₂) et
d’acrylate de méthyle (CH₂=CH–COOCH₃) ;
c’est le point de départ typique de la synthèse des dendrimères PAMAM. ·
L’éthylènediamine
constitue le noyau central (point de départ de la synthèse). ·
L’acrylate de méthyle réagit avec les groupes amines via
une addition de Michael (voir annexe 1) pour
créer une structure ramifiée contenant des groupes ester terminaux. ·
Ensuite, ces esters sont aminolysés (réaction
avec une amine) pour introduire à nouveau des groupes amines terminaux,
permettant la croissance dendritique de génération en génération. |
b) Méthode convergente :
·
Départ des branches externes vers le
noyau ; avantage : meilleure pureté des fragments ; inconvénient
: plus difficile à assembler au centre.
Remarque : Un ensemble de
particules est dit monodispersé lorsqu’elles ont
toutes la même taille, la même forme et la même masse molaire. Un polymère monodispersé a des chaînes de même longueur (même degré de
polymérisation).
·
Multifonctionnalité :
La multifonctionnalité d’un dendrimère correspond à la présence de plusieurs
groupes fonctionnels terminaux, qui peuvent conférer différentes propriétés
chimiques ou biologiques à la molécule. Considérons un dendrimère PAMAM auquel
on a greffé :
- Des groupes amines (-NH2) ou des groupes
carboxyles -COOH) pour augmenter son hydrosolubilité (ces groupes sont
polaires)
- Des fluorophores (fluorescéine, rhodamine, coumarine) …….
qui permettent par la lumière fluorescente émise de suivre le trajet du
dendrimère.
·
Solubilité ajustable :
On peut faire varier celle-ci en ajustant les groupes fonctionnels terminaux.
·
Faible viscosité malgré
leur masse importante : cela est dû à
- Une structure compacte et sphérique.
- Peu ou
pas d’enchevêtrement ; en effet leurs branches courtes et organisées empêchent l’enchevêtrement.
·
Encapsulation
possible dans les cavités internes du dendrimère de molécules comme la doxorubicine, un anticancéreux, tout en portant en surface
un ligand de ciblage permettant une libération ciblée et un fluorophore pour le
suivi en imagerie.
5) Dendrimères les plus utilisés
- PAMAM G4-NH2
(génération4, groupes NH2 terminaux). Il transporte facilement un
médicament jusqu’à sa cible spécifique (par exemple une cellule tumorale).
L’encapsulation du médicament est facile.
- PAMAM G5-NH2
(génération5, groupes NH2 terminaux). Sa taille est plus
importante ; il possède plus de sites fonctionnels. Utilisé en imagerie
médicale (greffé de fluorophores ou d’agents de contraste).
|
|
- Le noyau d’un PPI est
constitué par le DAB, 1,4-diaminobutane : NH2-(CH2)4-NH2). - Etapes de
croissance : 1) Par addition de Michael en
faisant réagir chaque amine terminale avec de l’acrylonitrile (CH2=CH-CN) on obtient le
DAB-(CH2-CH2-CN)4. 2) Les groupes nitriles (-CN)
sont réduits en amines primaires (-CH2-NH2) par LiAlH4
ou H2/Ni. Le
produit de génération 1 est DAB-[CH2-CH2-CH2-NH2]4 |
L’utilisation
la plus répandue des dendrimères PPI est la vectorisation de médicaments
(c’est-à-dire le transport de ces médicaments directement jusqu’à leur cible,
qui peut être une cellule malade ou un organe spécifique, tout en limitant son
action sur les tissus sains), notamment en thérapie anticancéreuse et en
thérapie génique.
- PPI G4- NH2 est très proche du
PPI G4- NH2 et a des utilisations similaires.
·
Dendrimères carbosilane : utilisés en
biologie et optoélectronique
|
|
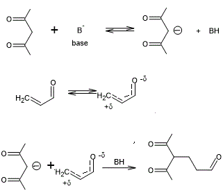
Addition
(ou réaction) de Michael
La réaction de
Michael est une addition nucléophile d’un composé nucléophile (souvent
un énolate ou une amine) appelé donneur de Michael sur une double liaison
activée par un groupement électroattracteur, comme un groupe carbonyle
appelé accepteur de Michael.
Elle permet la formation
de liaisons C–C (ou C–N) en β-position d’un groupe
carbonyle.
Type de réaction :
Addition 1,4 .
Double liaison activée
typique : CH₂=CH–CO–R,
CH₂=CH–CN, etc.
Exemple 1
Pentane-2,4-dione sur
acroléine
Réactifs :
Étapes :
Résultat : formation d’un
composé 1,5-dicarbonylé avec une fonction aldéhyde en bout.

Exemple 2
Acrylate de méthyle sur
éthylène diamine
Réactifs :

Le groupe amine restant libre
peut à son tour réagir sur une molécule d’acide acrylique pour donner une éthylènenediamine disubstituée.