FRUITS DE L’OLIVIER - TRAITEMENTS
1) Généralités :
L’olivier (Olea
europaea L.) est un arbre fruitier emblématique
du bassin méditerranéen, cultivé depuis plusieurs millénaires. Appartenant à la
famille des Oléacées, il est particulièrement adapté aux climats secs et
ensoleillés grâce à ses feuilles coriaces et persistantes. C’est un arbre de
longue vie, il peut en effet vivre plusieurs siècles, qui symbolise à la fois
la paix, la force et la prospérité dans de nombreuses cultures.
Étude botanique de l’olivier
- Classification
§ Règne : Plantae
§ Ordre : Lamiales
§ Famille : Oléacées
§ Genre : Olea
§ Espèce : Olea europaea L.
- Morphologie générale
§ Port : arbre à
feuillage persistant, de petite taille (8–12 m en moyenne).
§ Tronc : court, souvent
noueux et tortueux (gnarled), pouvant devenir très
large et creusé avec l’âge.
§ Longévité : arbre très
robuste, certains spécimens dépassent 1000 ans.
- Feuilles
§ Type : simples,
opposées, persistantes (vivent 2 à 3 ans).
§ Forme :
lancéolées, coriaces.
§ Couleur : vert grisâtre
sur la face supérieure, argentées et couvertes de poils protecteurs au revers.
§ Rôle : adaptation
à la sécheresse (limitation de l’évapotranspiration) grâce à ses feuilles
coriaces et son système racinaire profond ;il
préfère les sols calcaires et ensoleillés ; il supporte mal les
climats trop froids (gélifs < –10 °C).
- Fleurs
§ Disposition : petites
fleurs blanches regroupées en grappes (panicules).
§ Période : printemps.
§ Structure : 4 pétales
soudés, 2 étamines, un pistil.
§ Pollinisation :
principalement anémophile (par le vent).
2) Structure des
olives
Ses fruits sont les
olives dont les principales caractéristiques sont :

Les olives sont naturellement
amères et astringentes lorsqu’elles viennent d’être cueillies, car elles
contiennent des substances phénoliques, notamment l’oleuropéine :

Pour les rendre comestibles, on applique
différents traitements chimiques et biologiques.
2-1) Composition
chimique des olives fraîches
![]()
ou

|
Cellulose |
Hémicellulose |
|
|
Représentation
simplifiée |
|
Pectines |
Mannitol |
|
Représentation
simplifiée |
|
|
oleuropéine |
hydroxytyrosol |
Tyrosol |
|
|
|
|
|
Alpha-tocophérol (α-tocophérol) |
Bêta-tocophérol (β-tocophérol) |
Gamma-tocophérol (γ-tocophérol) |
|
|
|
|
3) Problème :
l’amertume
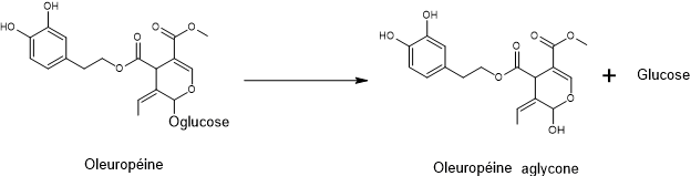
L’oleuropéine, un
glycoside amer, rend l’olive immangeable crue.
On en trouve en moyenne
2% dans les olives vertes ; certaines variétés peuvent en contenir jusqu’à
20% du poids sec. Plus l’olive arrive à maturité, plus le taux baisse ;
dans certains cas il peut arriver à zéro. L’oleuropéine est soluble dans l’eau.
Il faut donc éliminer ou transformer cette molécule par des traitements
chimiques et /ou fermentatifs.
Il existe plusieurs
méthodes pour éliminer ou transformer l’oleuropéine ; le principe est
pratiquement toujours le même, on transforme l’oleuropéine en oleuropéine
aglycone par fermentation :

cette molécule instable
se décompose par fermentation enzymatique en acide élénolique et en
hydroxytyrosol :

L’amertume disparaît
alors.
On peut accélérer le
processus en faisant tremper les olives vertes dans une solution diluée de
soude.
Les deux enzymes qui
interviennent dans ce processus (β-glucosidase et β-estérase) sont
présentes dans l’olive elle-même (elles sont localisées dans les vacuoles et
deviennent actives lorsque la cellule est rompue (cueillette, broyage, …) et dans
certains micro-organismes (bactéries lactiques ex : Lactobacillus
plantarum ) et certaines levures.
Rôle de la mise en
saumure
La mise en saumure
(trempage des olives dans une solution de sel, NaCl, généralement 8–10 %) joue
plusieurs rôles, chimiques, microbiologiques et technologiques :
A) Extraction de l’amertume
B) Conservation
C) Sélection de la flore utile
D) Amélioration sensorielle
.
4) Principaux
traitements chimiques et biologiques pour rendre les olives comestibles.
4-1) Traitement alcalin (méthode espagnole)

4-2) Traitement à la saumure directe (méthode
grecque)
4-3) Traitement à sec (méthode “marocaine”)
4-4) Traitement oxydatif (méthode californienne)

qui stabilise la
couleur noire brillante.
6) Olives vertes et
olives noires :
Les olives vertes et
les olives noires viennent du même arbre (l’olivier), mais elles ne sont
pas récoltées au même stade de maturité :
Cela entraîne quelques différences
de composition :
·
Par
contre, qu’elles soient vertes ou noires, les olives vendues en bocaux ou
conserves passent par une saumure (eau + sel) → elles sont souvent riches
en sodium.