NOTIONS SUR LES HORMONES ANIMALES
Gérard Gomez
Plan de l'étude :
1) Définition
2) Nature chimique des hormones
2-1-1) Glucocorticoïdes
A) Les glucocorticoïdes naturels
B) Les
glucocorticoïdes synthétiques
2-1-2) Hormones minéralocorticostéroïdes
A) Les
minéralocorticoïdes naturels
B) Un
minéralocorticoïde synthétique
2-1-3) Hormones
sexuelles
C) Les progestatifs ou gestagènes
C2) Les progestatifs synthétiques
C2-1)
Les progestatifs synthétiques dérivés de la
progestérone
C2-2)
Les progestatifs synthétiques dérivés de la
19-nortestostérone
C2-2-1)
Estranes
C2-2-2)
Gonanes
C-2-3)
Dérivés de la spironolactone
C-2-4)
Des dérivés plus récents
D) Les hormones sexuelles surrénaliennes, qui servent de
précurseurs aux autres stéroïdes sexuels
2-2) Hormones
protéiques
2-3) Hormones peptidiques
2-4) Hormones à petites
molécules
ANNEXE 1 : L’homéostasie
ANNEXE 2 : La steroïdogenèse
ANNEXE 3 : Interprétation de la
représentation d’une hormone protéique
Les hormones sont des molécules biologiquement actives
sécrétées par des glandes endocrines, qui agissent à distance sur des cellules
cibles spécifiques. Ce sont des messagers chimiques : elles régulent des
fonctions clés comme la croissance, la reproduction, le métabolisme ou encore
l’homéostasie (voir annexe 1).
2) Nature chimique des hormones
Les hormones animales, connues et étudiées depuis
longtemps, appartiennent à diverses familles chimiques, telles que :
· Les stéroïdes (hormones sexuelles :
testostérone, œstradiol, progestérone, œstrone… ; …..)
;
· Les protéines (ex. : hormone de
croissance ou somatotropine) ;
· Les peptides (ex. : insuline,
calcitonine) ;
· ou encore des molécules plus simples comme l’adrénaline ou
la mélatonine.
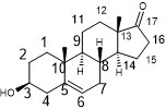
Les hormones stéroïdiennes sont des hormones
lipophiles (solubles dans les graisses) qui ont un squelette tétracyclique
dérivé de celui du cholestérol (qui lui n’est pas une hormone) :
|
|
|
|
|
|
|
|
|
Elles jouent un rôle fondamental dans la régulation de
nombreuses fonctions physiologiques comme le métabolisme, la reproduction, la
réponse au stress, et l'équilibre hydrosodé.
Elles traversent la membrane cellulaire.
Elles sont classées en 5 grandes familles
2-1-1) Glucocorticoïdes (produits par le cortex surrénalien, zone fasciculée)
Les glucocorticoïdes (ou glucocorticostéroïdes)
sont ainsi nommés car ils agissent sur le métabolisme glucidique ; ils ont
en effet une action hyperglycémiante :
· En inhibant la consommation de glucose au niveau de
cellules variées,
· En stimulant dans le foie la transformation des acides
gras (provenant des tissus adipeux) et des acides aminés (provenant des
protéines des muscles) en glucose, par activation des enzymes clés de la
néoglucogenèse (la synthèse de glucose à partir de substances non glucidiques)
On distingue les glucocorticoïdes naturels et ceux qui
sont synthétiques :
A) Les
glucocorticoïdes naturels :
|
C’est la plus abondante et biologiquement la plus
active. L'organisme humain produit entre 20 et 30 mg de cortisol par 24
heures, sa concentration sanguine étant de 80 à 150 ng/mL. |
La cortisone se forme dans l'organisme par oxydation
du cortisol sous l'action de la 11-déshydrogénase (la fonction alcool en C11
se transforme en fonction cétone). La cortisone peut se retransformer en cortisol sous
l'effet de l'enzyme 11-β-hydroxystéroïde déshydrogénase
ou 11βHSD1. Il se forme entre 1 et 4 mg de cortisone par 24
heures. |
|
Il peut être oxygéné en cortisol et peut
également être converti en androstènedione.. |
Elle intervient dans la réponse de l’organisme à un
stress. A des effets anti-inflammatoires et
immunosuppresseurs. Elle a également une action minéralocorticostéroïde non
négligeable, c’est pourquoi on dit d’elle qu’elle a une action mixte. |
B) Les glucocorticoïdes
synthétiques
|
Glucocorticostéroïde ; c’est la forme synthétique du cortisol. C’est un corticoïde à courte durée d’action (entre 8
et 12 heures).
|
Glucocorticostéroïde de synthèse. La prednisone est un pro-médicament (prodrug). Elle est activée dans le foie en prednisolone, qui
est la forme active. Anti-inflammatoire, anti-allergique,
antiprurigineux. Commercialisé sous le nom Cortancyl®. C’est un corticoïde à durée d’action intermédiaire
(12-36h). |
Glucocorticostéroïde de structure proche de celle du cortisol,
utilisé par voie orale, injectable, cutanée, rectale et nasale (Solupred
®, Hydrocortancyl ®). (A.I.S) utilisé lors d'allergies et d'infections
bactériennes. Durée d’action intermédiaire (12-36h). |
|
Glucocorticostéroïde de synthèse. Molécule utilisée comme anti-inflammatoire (A.I.S)
(Arthrite, lupus). Traite aussi les allergies sévères, les affections
respiratoires(asthme) …. Durée d’action intermédiaire (12-36h). |
Le triamcinolone est un glucocorticoïde de synthèse. Il agit en
réduisant l’inflammation et la réaction du système immunitaire. Il bloque la
production de certaines substances responsables de l’inflammation, comme les
prostaglandines et les cytokines. |
C’est un glucocorticoïde de synthèse. C’est un promédicament, c’est-à-dire que le déflazacort est inactif sous sa forme initiale. Une
fois absorbé par voie orale, il est rapidement métabolisé dans le foie en son
métabolite actif, appelé 21-desacétyldéflazacort. |
|
|
|
|
|
La Dexaméthasone est un glucocorticoïde
de synthèse. Son effet est essentiellement anti-inflammatoire. Elle est beaucoup plus puissante que la cortisone
naturelle (environ 25 fois plus), avec une action prolongée. |
La bétaméthasone est un glucocorticoïde
synthétique utilisé principalement pour son effet anti-inflammatoire. A forte
dose, il diminue la réponse immunitaire. Son effet métabolique et de
rétention sodée est moindre que celui de l’hydrocortisone. |
C’est un glucocorticostéroïde synthétique
topique à activité anti-inflammatoire antiprurigineuse et à propriétés
vaso-constrictrices. |
|
Halcinonide
L’halcinonide est un
médicament appartenant à la classe des glucocorticoïdes topiques (à
application locale). Il est utilisé localement sur la peau pour réduire
l’inflammation, les démangeaisons et d'autres symptômes associés à diverses
maladies dermatologiques. Il a une puissance élevée parmi les corticoïdes
topiques. L’halcinonide agit en
réduisant la réponse inflammatoire du corps. Il bloque la production de substances comme les
prostaglandines et les cytokines, qui provoquent rougeurs, gonflements et
démangeaisons. Il supprime aussi la réaction immunitaire locale, ce
qui aide à calmer les maladies auto-immunes de la peau. |
La désoximéthasone est
un glucocorticoïde topique, c’est-à-dire un médicament de la famille des
corticoïdes utilisé en application locale sur la peau. Elle a une action anti-inflammatoire puissante. La désoximéthasone agit
en réduisant l'inflammation, les démangeaisons (prurit), les rougeurs et les
réactions allergiques cutanées.
· et la prolifération cellulaire, notamment des kératinocytes dans les maladies comme le psoriasis. |
La paraméthasone est
un glucocorticoïde, utilisé pour ses propriétés anti-inflammatoires,
immunosuppressives et antiallergiques. La paraméthasone agit
en :
Modulant l’expression de certains gènes impliqués
dans la réponse immunitaire. |
|
L’aclométasone est un glucocorticoïde topique de puissance
modérée utilisé en dermatologie pour traiter les inflammations cutanées. Elle agit en inhibant la libération de médiateurs de
l’inflammation, comme les prostaglandines et les cytokines. |
|
|
2-1-2)
Hormones minéralocorticostéroïdes
Les hormones minéralocorticostéroïdes (ou minéralocorticoïdes) sont une sous-classe
des corticostéroïdes produites principalement par la zone glomérulée du cortex surrénalien. Leur
rôle principal est de réguler l’équilibre hydrosodé et la pression artérielle,
en agissant sur les reins.
A) Les
minéralocorticoïdes naturels
|
C’est une hormone
principale ; elle a une action fondamentale sur l’équilibre hydrique et
la concentration des électrolytes dans le corps, notamment le sodium et le
potassium, ce qui lui fait jouer un rôle essentiel dans la régulation de la
pression artérielle. Son activité
minéralocorticoïde est très élevée. |
Désoxycorticostérone (DOC)
Cette molécule est un
précurseur de l’aldostérone, à activité minéralocorticoïde moyenne à forte. Elle dérive du
cholestérol, comme toutes les hormones stéroïdes. Rarement utilisée
comme médicament aujourd'hui. Par le passé, la DOC
a été utilisée comme substitut minéralocorticoïde, mais elle est remplacée
par des molécules plus puissantes comme la fludrocortisone. |
B) Un
minéralocorticoïde synthétique
|
La fludrocortisone
mime l’effet de l’aldostérone au niveau des reins, Son activité
minéralocorticoïde est très élevée. Elle est utilisée
pour traiter l’insuffisance surrénalienne (maladie d’Addison). |
Les hormones sexuelles
sont des hormones stéroïdiennes produites principalement par les gonades
(ovaires et testicules) et, en moindre quantité, par les glandes surrénales.
Elles jouent un rôle essentiel dans le développement sexuel, la maturation des
caractères sexuels secondaires, la reproduction, ainsi que dans la régulation
du cycle menstruel et de la fertilité. On distingue quatre grands groupes
d’hormones sexuelles :
- Les androgènes (comme la testostérone),
- Les œstrogènes (comme l’estradiol),
- Les progestatifs ou gestagènes
(comme la progestérone),
- Les hormones sexuelles surrénaliennes, telles que la déhydroépiandrostérone (DHEA), qui servent de précurseurs
aux autres stéroïdes sexuels.
|
Hormone
sexuelle produite dans les testicules. Elle contribue à l'apparition et
au maintien des caractères sexuels. Bien qu’elle soit
souvent associée aux hommes, elle est également présente chez les femmes,
mais en plus faible quantité ; elle est dans ce cas produite par les
ovaires et les glandes surrénales. |
L’androstanolone,
plus connue sous le nom de dihydrotestostérone (DHT), est une hormone
androgène puissante dérivée de la testostérone. Bien qu’elle soit produite en
plus petite quantité, elle a un effet biologique beaucoup plus fort. Elle
joue un rôle clé dans le développement sexuel masculin et d'autres fonctions
liées à la pilosité et à la peau. Elle est produite à
partir de la testostérone, grâce à une enzyme appelée 5α-réductase. |
B)
Hormones oestrogènes
|
Hormone oestrogène (sexuelle féminine)
qui règle avec l'oestrone ou folliculine, le cycle menstruel
(C’est la forme la plus puissante et biologiquement active de ces hormones
chez l’être humain). Origine : - Chez la femme
: principalement produit par les ovaires, plus précisément par les cellules
de la granulosa des follicules en développement. - Chez l’homme
: produit en petites quantités par les testicules et via la conversion de la
testostérone en œstradiol par l’aromatase. - Chez les deux sexes
: une partie provient aussi des glandes surrénales et des tissus
périphériques (graisse, foie). |
ou
Hormone oestrogène (sexuelle féminine). Elle est moins
puissante que l’estradiol, mais joue un rôle important dans certains
contextes physiologiques, notamment après la ménopause. Origine : - Chez la femme en
âge de procréer : produite par les ovaires et, en plus petites quantités,
par les glandes surrénales. - Après la ménopause : devient la
principale source d’œstrogènes, fabriquée surtout dans le tissu adipeux à
partir de l’androstènedione via l’aromatase. - Chez l’homme : présente en
faibles quantités, produite aussi par la conversion périphérique des
androgènes. |
Estriol
Hormone stéroïde oestrogène synthétisée
par les ovaires. Présente en abondance dans l'urine des femmes enceintes.
Elle est beaucoup moins puissante que l’œstradiol (E2) et l’œstrone (E1),
mais elle joue un rôle essentiel pendant la grossesse. |
C) Les progestatifs
ou gestagènes
Ces hormones sont
produites principalement par le corps jaune de l’ovaire, le placenta, et dans
une moindre mesure par les glandes surrénales et les testicules.
C1)
Les progestatifs naturels :
|
ou
Hormone de grossesse
produite par l'ovaire. Elle favorise l'implantation du zygote et le maintien
de la grossesse. La progestérone est
synthétisée essentiellement par l'ovaire et, à un moindre degré, par le
testicule, les glandes surrénales et le placenta au cours de la deuxième partie
de la grossesse. De plus, une synthèse non endocrine de progestérone, au
niveau des neurones notamment, est possible. La
synthèse se fait à partir du cholestérol : sous l'influence d'une
desmolase, le cholestérol est transformé en prégnénolone qui, sous
l'influence d'une déshydrogénase et d'une isomérase, donne la progestérone. |
17α-hydroxyprogestérone ou
C’est un dérivé de la
progestérone, modifié par l’ajout d’un groupement hydroxyle en position 17 du
noyau stéroïdien. La 17 α-hydroxyprogestérone (17-OHP) est une hormone stéroïdienne
intermédiaire essentielle dans la biosynthèse des glucocorticoïdes, des
androgènes et des œstrogènes. Elle joue un rôle central dans la physiologie
surrénalienne et gonadique. 5α-pregnan-3,20-dione |
20α-Hydroxyprogestérone ou
Elle a une activité
progestative faible comparée à la progestérone. Elle joue un rôle
dans la régulation du cycle et de la gestation chez certaines espèces, mais
son importance est limitée chez l’humain. C’est aussi un
métabolite de dégradation de la progestérone, qui sert parfois de marqueur
biologique (ex. : étude de l’activité du corps jaune). |
|
5α-Dihydroprogestérone ou 5α-pregnan-3,20-dione ou 5α-DHP
C’est un métabolite
réduit de la progestérone, obtenu par hydrogénation de la double liaison
entre C4 et C5 (réduction 5α). Elle conserve les
deux fonctions cétone de la progestérone (en C3 et C20). - C’est un
précurseur d’autres neurostéroïdes : La 5α-DHP peut
être convertie en alloprégnanolone
(3α-hydroxy-5α-pregnan-20-one) ou isoprégnanolone
(3β-hydroxy...), qui sont de puissants modulateurs positifs ou négatifs
des récepteurs GABAA . - Elle possède une activité progestative
: La 5α-DHP
possède une affinité modérée pour le récepteur de la progestérone, mais moins
que la progestérone elle-même. |
ou 3α-hydroxy-5α-pregnan-20-one ou 3α,5α-tétrahydroprogestérone ou 3α,5α-THP
C’est un neurostéroïde endogène dérivé de la progestérone : 1- La progestérone
est réduite par 5α-réductase → 5α-dihydroprogestérone
(5α-DHP). 2- La 5α-DHP est
ensuite réduite par 3α-hydroxystéroïde
déshydrogénase (3α-HSD) → alloprégnanolone. Elle agit
principalement comme puissant modulateur des récepteurs GABAA
. Elle joue un rôle central dans la régulation de l’humeur, de
l’anxiété et du sommeil, et possède un intérêt thérapeutique avéré, notamment
en psychiatrie. |
ou 3β-hydroxy-5-pregnen-20-one ou PREG
C’est un stéroïde
précurseur à partir duquel l’organisme synthétise toutes les hormones
stéroïdiennes. Produite à partir du
cholestérol, elle sert de passerelle vers la progestérone, les androgènes,
les œstrogènes et les corticostéroïdes. Elle est aussi un neurostéroïde
actif dans le cerveau, avec des effets potentiels sur la cognition et
l’humeur. |
|
Le Prégnanediol est un métabolite urinaire de la
progestérone, ce qui signifie qu’il est produit lorsque la progestérone est
dégradée dans l’organisme, puis éliminé dans les urines. Remarque : Le prégnanediol n’a pas de rôle hormonal direct important. |
|
|
C2)
Les progestatifs synthétiques :
C2-1) Les progestatifs synthétiques dérivés de la
progestérone (prégnane) :
Le noyau prégnane
est un dérivé du noyau gonane, et il joue un rôle
central en endocrinologie et en chimie des stéroïdes.

|
Acétate
de médroxyprogestérone ou MPA ou AMP
L’acétate de
médroxyprogestérone (AMP) est un progestatif de synthèse, c’est-à-dire une
substance hormonale artificielle qui imite les effets d’une hormone naturelle
: la progestérone. La progestérone
naturelle a une demi-vie très courte dans l’organisme : elle est rapidement
dégradée par le foie, ce qui fait que ses effets s’estompent vite (en
quelques heures). L’acétate de
médroxyprogestérone (AMP), lui, a été modifié chimiquement pour rester actif
beaucoup plus longtemps :
|
L’hydroxyprogestérone
caproate est un progestatif de synthèse, dérivé de
la 17α-hydroxyprogestérone. Sa structure chimique
modifiée lui permet d’agir sur plusieurs jours après une seule injection, en
imitant les effets protecteurs de la progestérone sur la grossesse. |
Acétate
de mégestrol
L’acétate de mégestrol est un progestatif de synthèse dérivé de la
17α-hydroxyprogestérone. |
|
La dydrogestérone est un médicament appartenant à la famille
des progestatifs de synthèse. Elle est
largement utilisée pour réguler les cycles menstruels, soutenir la grossesse
précoce et protéger l’endomètre lors des traitements hormonaux. |
Le CMA a été
découvert en 1959 et a été introduit pour un usage médical en 1965. Il peut
être considéré comme un progestatif de "première génération". C’est un progestatif
de synthèse dérivé de la progestérone naturelle, mais modifiée pour être plus
stable et active par voie orale. |
L’acétate de
nomégestrol est un progestatif synthétique utilisé pour réguler le cycle,
traiter certaines pathologies de l’endomètre, et parfois pour la
contraception. Il agit comme la progestérone naturelle, avec une bonne
tolérance et peu d’effets secondaires androgènes. |
|
L’éthanoate
de cyprotérone est antagoniste du NR3C4 (récepteur androgène AR). Est
utilisé dans le traitement du cancer de la prostate avec métastase ou dans le
traitement de l’hypersexualité. A forte dose ce
produit (« Androcur ») est toxique pour
le foie. |
|
|
C2-2) Les progestatifs synthétiques dérivés de
la 19-nortestostérone (estranes
et gonanes) :
C2-2-1) Estranes
L'estrane est
un noyau stéroïdien. Il correspond au stéroïde à 18 atomes de carbone. Il
existe en deux isomères, le 5α-estrane et
le 5β-estrane, en fonction de la position de
l'atome d'hydrogène sur le carbone 5.

|
ou Noréthindrone
La noréthistérone (ou
noréthindrone) est un progestatif de synthèse,
dérivé de la testostérone. La noréthistérone
agit comme la progestérone naturelle : - Elle bloque
l’ovulation en inhibant la sécrétion de FSH et LH (hormones hypophysaires). - Elle entraîne une
modification de la glaire cervicale, qui devient plus visqueuse, empêchant le
passage des spermatozoïdes. - Elle transforme
l’endomètre en une muqueuse non réceptive à l’implantation. Ses indications
principales sont : La contraception –
Les troubles menstruels – L’ endométriose – Le
traitement hormonal de la ménopause. |
L’acétate de
noréthistérone est la forme estérifiée de la noréthistérone, un progestatif
de synthèse. Son mécanisme
d’action est le même que celui de la Norethistérone
et ses indications principales sont les mêmes. |
Le lynestrénol est un
progestatif de synthèse, dérivé de la 19-nortestostérone. Il agit en bloquant
l’ovulation et en modifiant la glaire cervicale et l’endomètre. Bien toléré,
il reste une option utile pour les femmes qui ne peuvent pas prendre de
contraception combinée. |
|
Diacétate
d’éthynodiol
C’est un dérivé de la
19-nortestostérone, utilisé principalement comme contraceptif oral en
association avec un estrogène (souvent l’éthinylestradiol). - Squelette
stéroïdien de type estrane (C₁₈). - Dérivé de la
19-nortestostérone (donc sans méthyle en C-19). - Possède une
fonction éthynyl (≡C–H) en C-17,
caractéristique de nombreux progestatifs de synthèse. - Deux groupes
acétates (–OCOCH₃) qui améliorent sa stabilité et sa
biodisponibilité. Il est inactif par
lui-même, mais transformé dans l’organisme en norethindrone
(noretistérone), son métabolite actif. Le diacétate d’éthynodiol a été l’un des premiers progestatifs
semi-synthétiques utilisés dans les contraceptifs oraux, marquant une étape
importante dans l’histoire de la contraception hormonale. |
|
|
C2-2-2) Gonanes
Le gonane
correspond à un système tétracyclique (quatre cycles fusionnés) composé de
trois cycles cyclohexane (notés A, B et C) et d’un cycle cyclopentane (noté D).
Sa formule brute est C₁₇H₂₈.
C’est la structure mère
des stéroïdes (cholestérol, hormones sexuelles, corticostéroïdes, etc.).

|
Le lévonorgestrel est
un progestatif puissant et polyvalent, dérivé de la 19-nortestostérone,
utilisé en contraception orale, d’urgence et intra-utérine. Il agit
directement sans activation métabolique et constitue aujourd’hui un des
piliers de la contraception hormonale moderne. |
Le désogestrel est un
progestatif de 3ᵉ génération, pro-médicament
transformé en étonogestrel, efficace comme contraceptif oral seul ou combiné.
Il est apprécié pour sa bonne tolérance et son absence d’activité
androgénique notable, bien qu’associé à un risque thromboembolique légèrement
accru. |
L’étonogestrel est un
progestatif de 3ᵉ génération, actif directement, dérivé du désogestrel.
Utilisé surtout sous forme d’implant contraceptif, il assure une
contraception efficace et prolongée, avec une bonne tolérance hormonale. |
|
La
gestodène
est un progestatif de 3ᵉ génération, dérivé de la 19-nortestostérone,
utilisé en association avec un estrogène dans la contraception orale. Elle se
distingue par sa forte activité progestative, sa faible activité androgénique
et sa bonne tolérance, bien que son utilisation soit accompagnée d’une
vigilance particulière concernant le risque thromboembolique. |
Le norgestimate est un
progestatif de 3ᵉ génération, pro-médicament
transformé en norelgestromine et lévonorgestrel, utilisé en contraception
orale (et patch). Il se distingue par sa bonne efficacité contraceptive et sa
faible activité androgénique, contribuant à une meilleure tolérance cutanée
et métabolique. |
|
C-2-3) Dérivés de la spironolactone (à
action anti-minéralocorticoïdes)
|
La drospirénone est
un progestatif de 4ᵉ génération, dérivé de la spironolactone, qui
combine activité progestative, anti-androgénique et antimminéralocorticoïde.
Elle est utilisée en contraception orale combinée, avec une bonne tolérance
générale mais une vigilance particulière concernant les risques
cardiovasculaires et électrolytiques. |
C-2-4) Des dérivés plus récents
|
Le diénogest est un progestatif moderne (4ᵉ
génération), dérivé de la 19-nortestostérone, qui associe une bonne
efficacité contraceptive à une activité anti-androgénique modérée. Il occupe
une place particulière grâce à son usage en contraception et surtout dans le
traitement de l’endométriose. |
Le trimégestone est un progestatif de 4ᵉ génération,
dérivé du noyau pregnane, caractérisé par sa grande
sélectivité et sa bonne tolérance métabolique. Il est utilisé surtout en
traitement hormonal substitutif, plus rarement en contraception, et se
rapproche de la progestérone naturelle par son profil pharmacologique. |
D) Les hormones
sexuelles surrénaliennes, qui servent de précurseurs aux autres stéroïdes
sexuels.
|
L’androstènedione
est une hormone stéroïdienne naturellement produite par le corps humain.
C’est un précurseur. Elle joue un rôle clé dans la biosynthèse des hormones
sexuelles, notamment la testostérone et les œstrogènes. L’androstènedione
est parfois mesurée pour diagnostiquer certains troubles hormonaux comme :
|
ou 5-androstène-3β,17β-diol
C’est
une hormone stéroïdienne, issue de la voie de biosynthèse des androgènes
(hormones sexuelles mâles). L’androstènediol
est un intermédiaire dans la conversion du déhydroépiandrostérone
(DHEA) en testostérone et œstrogènes. |
|
(Déhydro-épi-androstérone ou
3-hydroxyandrost-5-en-17-one)
La DHEA, ou déhydroépiandrostérone, est une hormone stéroïdienne
naturellement produite par les glandes surrénales (et aussi en plus petite
quantité, par les gonades (ovaires et testicules)) et le cerveau. Elle est
considérée comme une hormone précurseur, car elle est transformée dans l’organisme
en œstrogènes et en androgènes (comme la testostérone). Son rôle est central
dans l’équilibre hormonal, autant chez l’homme que chez la femme. |
Aussi puissante que la testostérone. Elle joue un rôle
reconnu dans les troubles androgéniques (ex : hyperplasie congénitale des
surrénales). C’est un androgène-11-oxygéné qui a été redécouvert récemment et
qui joue un rôle majeur dans certaines pathologies comme le syndrome des
ovaires polykystiques (SOPK) ou certaines formes d’hyperandrogénisme. |
Produites par de
nombreuses glandes endocrines, elles interviennent dans des fonctions
essentielles : régulation de la glycémie, croissance, reproduction, lactation,
équilibre hydro-minéral, etc. Leur mode d’action est
caractéristique : solubles dans l’eau, elles ne traversent pas la membrane
cellulaire mais exercent leur effet en se fixant à des récepteurs spécifiques
situés à la surface des cellules cibles, déclenchant ainsi des cascades de
signalisation intracellulaire. L’étude des hormones protéiques permet non
seulement de mieux comprendre la physiologie humaine, mais aussi d’expliquer
certaines pathologies et de développer des applications thérapeutiques
majeures.
|
1) Définition : L’hormone de
croissance (GH), aussi appelée somatotropine, est une hormone protéique
sécrétée par l’antéhypophyse (lobe antérieur de l’hypophyse). 2) Structure
chimique
3) Régulation de
la sécrétion
4) Rôles
physiologiques
5) Pathologies
6) Applications
médicales
|
|
1) Définition : La prolactine est une hormone produite
principalement par l’hypophyse antérieure (ou adénohypophyse). Son nom vient
du rôle essentiel qu’elle joue dans la lactation. 2) Structure
chimique La prolactine est une hormone protéique (ou
polypeptidique). C’est une protéine simple constituée d’une
chaîne unique de 199 acides aminés (chez l’humain). Sa masse moléculaire est d’environ 23 kDa (kilodaltons). Elle appartient à la famille des hormones
apparentées à la somatotropine (hormone de croissance, GH) et au lactogène
placentaire humain. Ces hormones partagent une certaine homologie de séquence
et une structure repliée similaire. Structure tertiaire : C’est une protéine de type cytokine avec un
repliement caractéristique en quatre hélices α disposées en faisceau. Elle contient plusieurs
ponts disulfure qui stabilisent la structure. 3) Rôle La prolactine occupe une place centrale dans
le fonctionnement hormonal, non seulement parce qu’elle permet l’allaitement,
mais aussi parce qu’elle influence la reproduction, le métabolisme et même le
système immunitaire. Son action illustre parfaitement l’équilibre délicat du
système endocrinien, où chaque hormone dépend d’un réseau de régulations
complexes. Un taux anormal de prolactine peut avoir des répercussions
importantes sur la fertilité, la santé psychologique et le bien-être général,
ce qui en fait un indicateur clinique précieux. Ainsi, la prolactine n’est
pas simplement "l’hormone du lait" : elle est aussi un messager
polyvalent, témoin de l’interconnexion entre le corps, les émotions et
l’environnement.
|
|
L’hormone hPL 1) Définition Le hPL (human Placental Lactogen), ou lactogène placentaire humain, est une hormone
protéique produite par le placenta pendant la grossesse. 2) Structure
chimique
3) Rôles
physiologiques
4) Régulation
5) Importance
clinique
Voir l’interprétation
de cette représentation de l’hormone protéique à l’annexe
3 |
Les hormones
peptidiques sont des hormones constituées de chaînes d’acides aminés. Elles
sont solubles dans l’eau, circulent librement dans le sang et exercent leur
action en se fixant à des récepteurs situés à la surface des cellules cibles.
Elles ne traversent pas
la membrane cellulaire et agissent via des récepteurs membranaires.
On distingue :
- Les petits peptides (TRH, Ocytocine, Vasopressine)
- Polypeptides (Insuline, glucagon, calcitonine).
|
TRH (Thyrotropin- Releasing-Hormone) ou
Hormone, secrétée par
l'hypotalamus et provoquant la libération de
la thyrotropine au niveau de l'hypophyse, cette thyrotropine stimulant la
glande thyroïde qui élabore des hormones telles que la thyroxine contrôlant
le métabolisme en général. |
Ocytocine et
vasopressine constituent deux hormones posthypophysaires. Le complexe hormonal
est constitué dans la posthypophyse de la neurophysine,
protéine "inerte" et deux hormones à 9 acides aminés : l'ocytocine
et la vasopressine. Leur structure est
très voisine, la différence ne portant que sur la nature des acides aminés en
position 3 et 8 (respectivement l'isoleucine et la leucine pour l'ocytocine
et la phénylalanine et l'arginine pour la vasopressine). L'ocytocine favorise
la contraction des muscles lisses de l'utérus, accélérant l'accouchement ;
elle favorise aussi l'éjection du placenta et stimule l'éjection du lait
maternel. La vasopressine (ADH)
est une hormone antidiurétique et vasopressive (vasoconstrictrice). |
|
Séquence
d'aminoacides du glucagon
Le glucagon est une
hormone pancréatique, un polypeptide formé d'une chaîne de 29 aminoacides (M
= 3485) produit dans les îlots de Langerhans du pancréas en réponse à une
décroissance de la concentration en glucose du sang. Il induit l'hydrolyse du
glycogène et des lipides et augmente le niveau en glucose du sang . |
L’insuline humaine
est composée de 51 aminoacides qui sont répartis sur deux chaînes. La chaîne
A en contient 21, la chaîne B 30. Il y a aussi 3 liaisons disulfidiques.
Avec des ions du zinc l’insuline forme des complexes hexamères, mais c’est le
monomère qui possède l’activité biologique, il a un temps de demi-vie de 5
minutes. Les premières préparations d’insuline utilisées dans la thérapie du
diabète chez l’homme, furent isolées du pancréas des boeufs.
L’insuline bovine se distingue de l’insuline humaine par trois aminoacides.
On a utilisé plus tard l’insuline porcine qui ne se distingue de l’insuline
humaine que par un seul aminoacide. |
|
La calcitonine est
une hormone peptidique constituée de 32 acides aminés. Elle est produite par
les cellules C (ou parafolliculaires) de la thyroïde. Son rôle principal est
de réguler le métabolisme du calcium. Elle contribue à
l’équilibre du calcium et du phosphore dans l’organisme, en agissant
principalement sur l’os et le rein. Bien que son rôle physiologique soit
limité chez l’adulte, elle a un intérêt médical comme traitement et comme
marqueur biologique. |
|
2-4) Hormones à petites
molécules :
|
1) Définition L’adrénaline (ou
épinéphrine) est une hormone et neurotransmetteur dérivée de l’acide aminé
tyrosine. Elle appartient à la famille des catécholamines (comme la
noradrénaline et la dopamine). Elle est produite principalement par la
médullosurrénale, la partie interne des glandes surrénales. 2) Rôles
physiologiques Réponse au stress
("fight or flight" = fuite ou combat) : ·
Augmentation du rythme cardiaque et de la force des
contractions, ·
Elévation de la pression artérielle, ·
Dilatation des bronches pour améliorer l’oxygénation, ·
Libération de glucose par le foie pour fournir rapidement
de l’énergie, ·
Dilatation des pupilles et amélioration de la vigilance.
3) Régulation
4) Importance
clinique
|
1) Définition : La mélatonine est une
hormone dérivée de l’acide aminé tryptophane. Elle est principalement
produite par la glande pinéale (ou épiphyse), située dans le cerveau. On
l’appelle souvent "l’hormone du sommeil". 2) Rôles
physiologiques
3) Régulation
4) Importance
clinique
|
L’homéostasie est un
concept fondamental en biologie et en physiologie. Il désigne la capacité d’un
organisme vivant à maintenir un équilibre interne stable, malgré les variations
de l’environnement externe.
Le terme vient du grec
"homoios" (semblable) et "stasis" (stabilité).
L’homéostasie est donc
la régulation active des paramètres physiologiques pour qu’ils restent dans des
plages compatibles avec la vie.
Exemples
classiques d’homéostasie chez l’humain :
|
Paramètre régulé |
Valeur normale |
Organes impliqués |
|
Température
corporelle |
≈ 37 °C |
Hypothalamus, peau,
muscles |
|
Glycémie (glucose
sanguin) |
≈ 1 g/L |
Pancréas (insuline,
glucagon), foie |
|
pH sanguin |
≈ 7,4 |
Poumons, reins |
|
Pression artérielle |
≈
120/80 mm Hg |
Cœur, vaisseaux,
reins |
|
Osmolarité (équilibre
eau/sel) |
≈ 300 mOsm/L |
Reins, hormone ADH |
Mécanisme général de
l’homéostasie
L’homéostasie repose
sur un système de régulation en boucle, souvent de type rétrocontrôle
négatif :
1)
Un récepteur détecte un écart (ex : thermorécepteurs pour la température).
2)
Le centre de régulation (souvent dans le cerveau, comme l’hypothalamus)
interprète le signal.
3)
Les effecteurs (muscles, glandes, organes) corrigent la perturbation.
Exemple : Si la température
du corps baisse, le corps déclenche des frissons (contractions musculaires)
pour produire de la chaleur.
Remarque :
Des dérèglements de
l’homéostasie peuvent provoquer des maladies :
Annexe 2
La steroïdogenèse
La stéroïdogenèse désigne l’ensemble des réactions
biochimiques par lesquelles l’organisme fabrique des hormones stéroïdes à
partir du cholestérol.
Ces hormones incluent :

Interprétation de la
représentation d’une hormone protéique

Représentation 3D simplifiée de la structure de
l’hormone hPL (Lactogène
Placentaire humain).
1) Ce que montre le schéma :
2. Qu’est ce que cela
signifie sur le plan chimique ?
3. Utilité de ces schémas ?